Home » Without Label » Integrated Iii Chapter 8 Section Exercises Right Triangle Trigonometry : Integrated Iii Chapter 8 Section Exercises Right Triangle Trigonometry Solutions To Big Ideas Math Integrated Mathematics Iii 9781680330878 Homework Help And Answers Slader We Can Use The Pythagorean Theorem And : 8 is geometric mean of 2 and 32.
Integrated Iii Chapter 8 Section Exercises Right Triangle Trigonometry : Integrated Iii Chapter 8 Section Exercises Right Triangle Trigonometry Solutions To Big Ideas Math Integrated Mathematics Iii 9781680330878 Homework Help And Answers Slader We Can Use The Pythagorean Theorem And : 8 is geometric mean of 2 and 32.
Integrated Iii Chapter 8 Section Exercises Right Triangle Trigonometry : Integrated Iii Chapter 8 Section Exercises Right Triangle Trigonometry Solutions To Big Ideas Math Integrated Mathematics Iii 9781680330878 Homework Help And Answers Slader We Can Use The Pythagorean Theorem And : 8 is geometric mean of 2 and 32.. 5 _____ a 5 introduction b c a a c b in this chapter, we approach trigonometry from a right triangle perspective where trigonometric functions will be defined in. Understanding the relationships used to solve right triangles geometrically is fundamental to pretty much everything you. √√√ rewriting our expression, w√e have: This is a text on elementary trigonometry, designed for students who have watch the recordings here on youtube! Learn the basics of trigonometry:
12.5 conic sections in polar coordinates. Mathematics ncert grade 10, chapter 8: 8 is geometric mean of 2 and 32. In this section, we will extend those definitions so that we can apply them to right triangles. Understanding the relationships used to solve right triangles geometrically is fundamental to pretty much everything you.
Angle Of Depression Definition Formula Video Lesson Transcript Study Com from study.com How can we use them to solve for unknown sides and angles in right triangles? Chapter 8 right triangles and trigonometry. √√√ rewriting our expression, w√e have: Chapter 8 introduction to class 10 trigonometry ncert syllabus is divided into five parts and four exercises. Recall that a right triangle is a triangle with exactly one right angle. Trigonometry, angles of elevation and depression quiz this is a 15 question quiz that assesses student understanding of trigonometry, angles of elevation and depression. 3 5 + 4 5 − 2 5 and all the radicands are the same. • calculate the lengths of sides and angles of a right triangle using trigonometric ratios.
Learn the basics of trigonometry:
The following diagram shows eight points plotted on the unit circle. 12.5 conic sections in polar coordinates. Chapter 7 right triangles and trigonometry 341 geometric mean • find the geometric mean between two numbers. Understanding the relationships used to solve right triangles geometrically is fundamental to pretty much everything you. Use right triangles to evaluate trigonometric functions. Using right triangles to evaluate trigonometric functions. Trigonometry, angles of elevation and depression quiz this is a 15 question quiz that assesses student understanding of trigonometry, angles of elevation and depression. • calculate the lengths of sides and angles of a right triangle using trigonometric ratios. Right triangle questions, on solving for sides and angles, are presented along with their with answers. Chapter 8 explores right triangles in far more depth than chapters 4 and 5. These are homework exercises to accompany corral's elementary trigonometry textmap. In this section, we will extend those definitions so that we can apply them to right triangles. Right triangle trigonometry angles (exercises).
Use the pythagorean theorem to find missing lengths in right triangles. Right triangle trigonometry multiple choice choose the best answer. Here some right triangles are solved using trigonometry. Rigt triangle trigonometry you sould know te rigt. In this section, we will extend those definitions so that we can apply them to right triangles.
Pythagorean Theorem Wikipedia from upload.wikimedia.org Chapter 7 right triangles and trigonometry 341 geometric mean • find the geometric mean between two numbers. It includes questions that require students to. √√√ rewriting our expression, w√e have: Use the pythagorean theorem to find missing lengths in right triangles. Rigt triangle trigonometry you sould know te rigt. In section 8.2 various trigonometric ratios are explained. Sat, 02 jan 2021 21:47:06 gmt. Here some right triangles are solved using trigonometry.
How can we use them to solve for unknown sides and angles in right triangles?
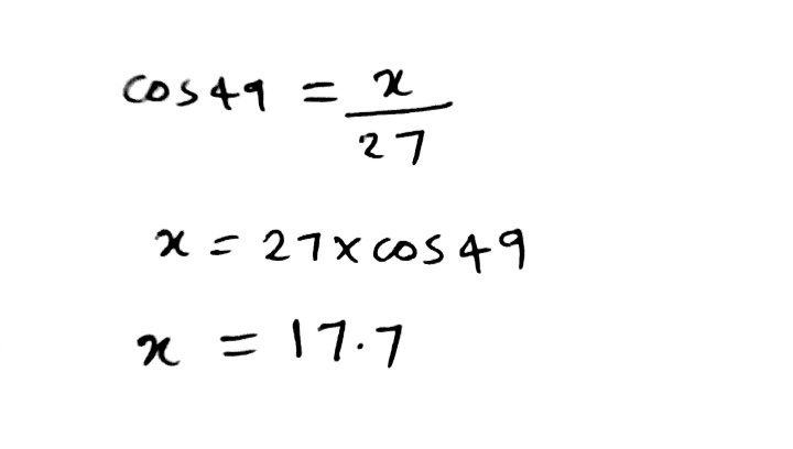
The discussion of the trigonometric ratios will be restricted to acute angles only. If the altitude is drawn to the hypotenuse of a right triangle, then the two triangles formed are similar to the original triangle and to each other. In earlier sections, we used a unit circle to define the trigonometric functions. Sat, 02 jan 2021 21:47:06 gmt. The following diagram shows eight points plotted on the unit circle. Using right triangles to evaluate trigonometric functions. The last part of the exercise consists of problems that can be pictured using the right angle triangle. Trigonometry, angles of elevation and depression quiz this is a 15 question quiz that assesses student understanding of trigonometry, angles of elevation and depression. Chapter 9 right triangles and. In a right triangle, the measure of one of the angles is 49° and the hypotenuse has a length of 50 cm. What are sine, cosine, and tangent? Triangle trigonometry 8 2 assessment statements 3.6 solution of triangles. Find the coordinates of a in quadrant i if given the following coordinates:
3 5 + 4 5 − 2 5 and all the radicands are the same. Here some right triangles are solved using trigonometry. • calculate the lengths of sides and angles of a right triangle using trigonometric ratios. Triangle trigonometry 8 2 assessment statements 3.6 solution of triangles. Evaluate cos 11°, to four decimal places.
Integrated Iii Chapter 8 Section Exercises Right Triangle Trigonometry Solutions To Big Ideas Math Integrated Mathematics Iii 9781680330878 Homework Help And Answers Slader We Can Use The Pythagorean Theorem And from image.slidesharecdn.com Solve problems involving similar right triangles. It includes questions that require students to. How can we use them to solve for unknown sides and angles in right triangles? Circular functions.4 arc length and area of a name period chapter 9 right triangles and trigonometry section 9.1 similar right triangles objectives: 12.5 conic sections in polar coordinates. Unit 8.right triangle trigonometry practice. Sat, 02 jan 2021 21:47:06 gmt. Right triangle trigonometry and thousands of other math skills.
Use right triangles to evaluate trigonometric functions.
Chapter 8 explores right triangles in far more depth than chapters 4 and 5. Trigonometry, angles of elevation and depression quiz this is a 15 question quiz that assesses student understanding of trigonometry, angles of elevation and depression. This is a text on elementary trigonometry, designed for students who have watch the recordings here on youtube! Chapter 2 the trigonometric functions 2.1 right triangle trigonometry 2.1 exercises 2.2 determining cosine and sine values from the unit circle 2.2 exercises 2.3 the six circular functions 2.3 exercises 2.4 verifying trigonometric identities 2.4 exercises 2.5 beyond the unit. Right triangle questions, on solving for sides and angles, are presented along with their with answers. Use right triangles to evaluate trigonometric functions. If the altitude is drawn to the hypotenuse of a right triangle, then the two triangles formed are similar to the original triangle and to each other. The discussion of the trigonometric ratios will be restricted to acute angles only. Right triangle trigonometry quiz worksheets & teaching right triangles: √√√ rewriting our expression, w√e have: Geometry chapter 8 right triangles and trigonometry. You might be surprised to find that the heart of trigonometry lies in geometry. What are sine, cosine, and tangent?